dove vale la relazione y = A · x
da cui si ottiene A = y / x
la costante A rappresenta la funzione di trasferimento del blocco.
Esegue il confronto fra due o più segnali fornendo in uscita la loro somma algebrica: h = x + y + z
È un nodo particolare in cui esiste una singola entrata e più uscite legate dalla relazione: h = x = y = z
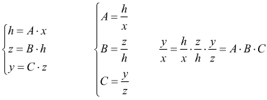
Si ha un collegamento in serie quando il segnale di uscita di un blocco è il segnale di ingresso del blocco successivo. Valgono le relazioni:
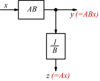
Lo schema iniziale viene così semplificato:
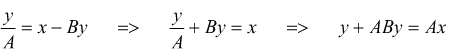
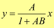
Più blocchi sono collegati in parallelo quando hanno lo stesso segnale di ingresso, mentre
le uscite convergono verso lo stesso nodo sommatore.
Valgono le relazioni:

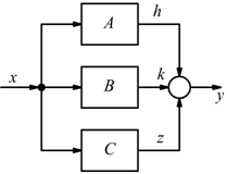
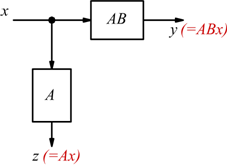
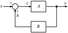
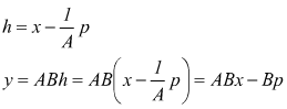
Dato il seguente schema di esempio:
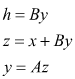
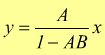
È possibile manipolare lo schema ottenendo le due seguenti possibili soluzioni equivalenti:
È possibile spostare un nodo sommatore lasciando invariate le uscite
Notiamo come in questo caso sia: